diziler seriler üni düzeyi

studylibtr com

studylibtr com

ojqnc9bbh3pvim

ojqnc9bbh3pvim

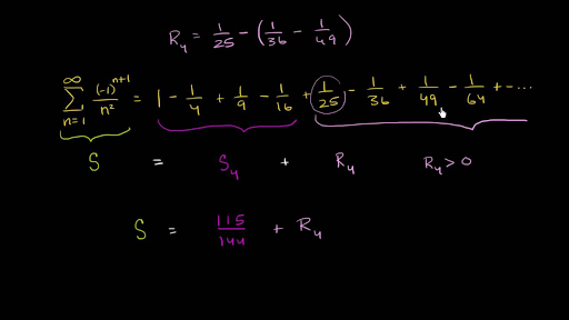
khan academy

khan academy

sorumvar net

sorumvar net

khan academy

khan academy

bilgicik com

bilgicik com

matematik tutkusu

matematik tutkusu

youtube

youtube

docplayer

docplayer

khan academy

khan academy

docplayer

docplayer

bilgicik com

bilgicik com

bilgicik com

bilgicik com

bilgicik com

bilgicik com

up mj6jsx0kytm

up mj6jsx0kytm

docplayer

docplayer

matematik tutkusu

matematik tutkusu

khan academy

khan academy

bilgicik com

bilgicik com

notubul com

notubul com

docplayer

docplayer

docplayer

docplayer

youtube

youtube

docplayer

docplayer

bilgicik com

bilgicik com

matematik ve geometri

matematik ve geometri

vikipedi

vikipedi

aritmetik dizi geometrik dizi seriler konu anlatim

aritmetik dizi geometrik dizi seriler konu anlatim

egitim dunyasi egitim dunyasi

egitim dunyasi egitim dunyasi

bilgicik com

bilgicik com

You May Like